Mobile Phone Screens Are Getting SMALLER!

mobile-phone-screens-getting-smaller

If you bought a “6-inch” screen phone this year, it will have a SMALLER screen than the “6-inch” screen phone you bought two years ago.  Here’s why.


Call me old-fashioned (or just old), but I spend a lot of time reading stuff – articles, charts, and data – on my phone.  And I mean actually reading it – not ‘skimming’ through an article while my thumb is continually scrolling the page upwards.


A ‘Full HD’ screen is 1920 x 1080 pixels – which is nice for movies, and gives an eye-friendly ‘book page’ ratio of 16:9.   This has been the standard screen ratio of mobile phones for several years, up to the last year or so, when suddenly manufacturers have switched to a 18:9 ratio  (which is 2:1 by the way… no idea why they call it 18:9, duh).   For me, 16:9 is perfect for reading text.  2:1 isn’t – it’s too thin and narrow.  

Supposedly, manufacturers have switched to this format because phones with skinnier screens fit into our pockets better, and are more easily used with one hand.   They have sadly forgotten about us old fogeys who want to read stuff (not ‘consume’) and aren’t one-thumbed road accident catalysts.

What they don’t tell you is that the screen ‘real estate’ shrinks when they make the phone skinnier. 

An ‘old fashioned’ 16:9 phone has a bigger viewable area than a ‘modern’ 18:9 phone, for the same nominal ‘screen size’.

Here’s the calculations.  First, the 16:9 screen.

16-9-screen-size

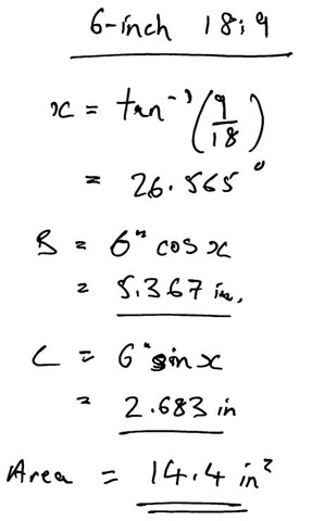
And for the 18:9 screen:

2-1-screen-size

So, there you have it.  The unequivocal truth.  A 16:9 “6-inch” screen has 7 percent more viewable area than a 18:9 “6-inch” screen.


Phone screens are getting bigger?  Pah.   They’re getting smaller

Popular Posts

How to Read a Fund Fact-Sheet

Tax Free Savings Plans for Australians?

Understanding Compound and Annualised Growth

British Expat? Here are the Huge UK Tax Benefits of an Offshore Investment Plan...

Should UK Expats Pay National Insurance Contributions?

Why You Can’t ‘Beat The Markets’

I’ve Recently Arrived in Dubai. Will I Pay UK Tax on my UAE Income?

How to Manage Currency Risk in your Investment Portfolio